Skip to navigation Skip to content
Ավետիս Հարությունյան
  • Իմ մասին
  • 7-րդ դասարան
    • Հայոց լեզու
    • Գրականություն
    • Անգլերեն (English)
    • Ռուսերեն (Русский язык)
    • Աշխարհագրություն
    • Պատմություն
    • Քիմիա
    • Ֆիզիկա
    • Երկրաչափություն
    • Հանրահաշիվ
  • Գլխավոր
  • Իմ մասին

Day: 27.04.2026

Posted on 27 Ապրիլի, 202627 Ապրիլի, 2026 by admin — Leave a comment

Հանրահաշիվ 27.4.2026

ա) y=0, y=2, y=-2, x=-3, x=-4

բ) y=6, y=10, y=-6, y=-8

գ) x=4, x=2, x=-1, x=0.5

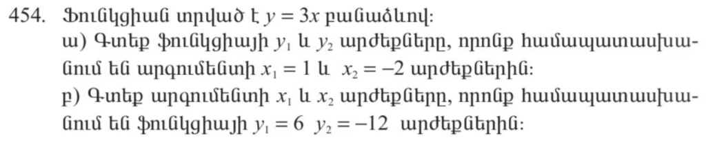
ա) y1=3, y2=-6
բ) x1=2, x2=-4

ա) 2
բ) 5
գ) -4
դ) -4

ա) k=-1
բ) k=4
գ) k=0.5
դ) k=-0.5

Category: Հանրահաշիվ
Ապրիլի 2026
Ե Ե Չ Հ Ու Շ Կ
 12345
6789101112
13141516171819
20212223242526
27282930  
« Մրտ    
  • Քիմիայի հաշվետվություն ապրիլ ամսվա
  • Գրաֆիկ դիզայն 28.4.2026
  • Հանրահաշիվ 27.4.2026
  • Հանրահաշիվ 22.4.2026
  • Գրաֆիկ դիզայն 21.4.2026
  • 7-րդ դասարան
  • Uncategorized
  • Անգլերեն (English)
  • Աշխարհագրություն
  • Գրականություն
  • Երկրաչափություն
  • Ընտրություն
  • Կենսաբանություն
  • Հայոց լեզու
  • Հանրահաշիվ
  • Պատմություն
  • Ռուսերեն (Русский язык)
  • Քիմիա
  • Ֆիզիկա
© Ավետիս Հարությունյան 2026
Built with Storefront.